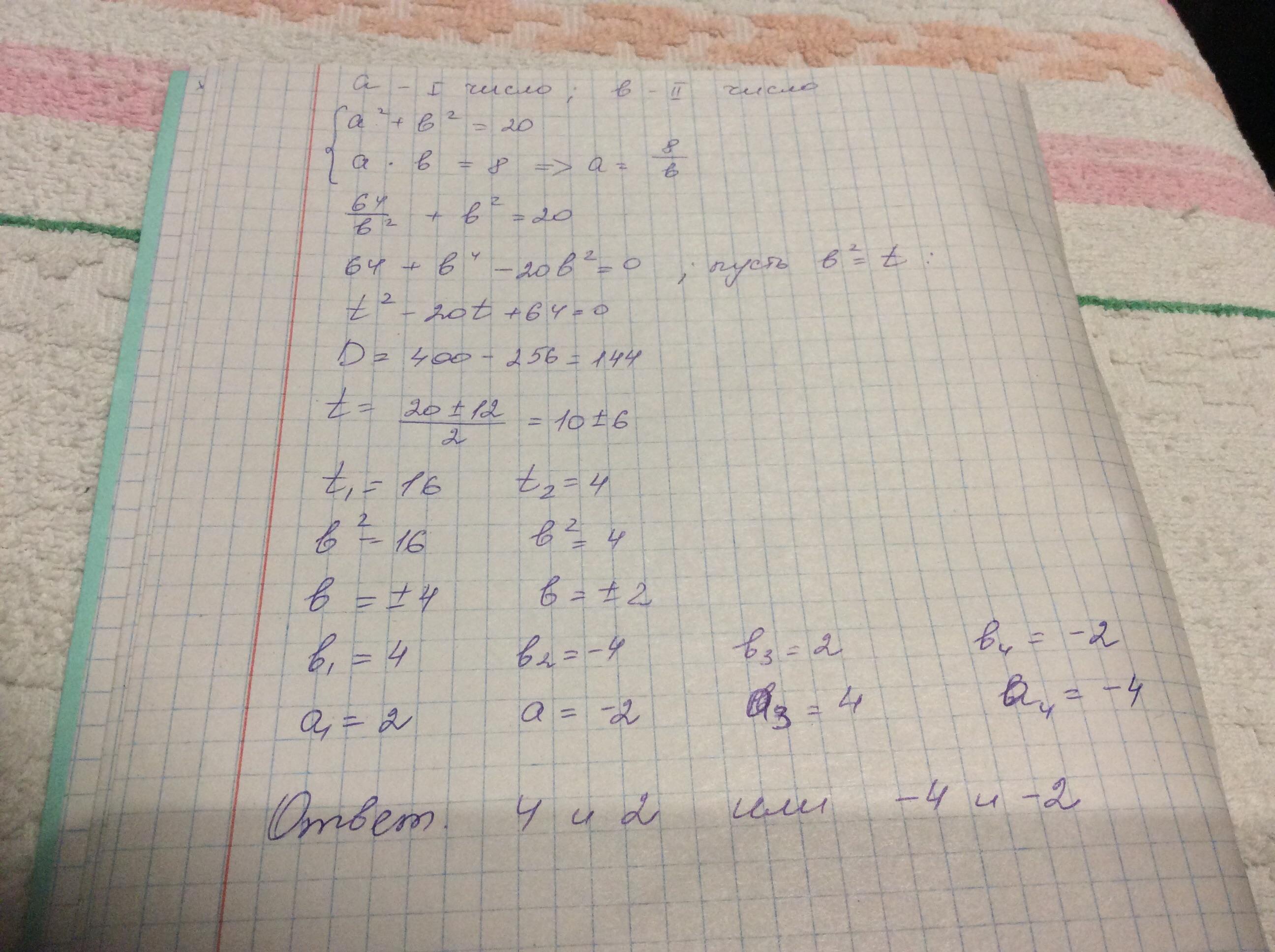
569. Задача Луки Пачіоло. Сума квадратів двох чисел дорівнює 20, а добуток — 8. Знайдіть ці числа. 570.
Ответы
Ответ дал:
4
Ответ: 2 и 4 или -2 и -4
Объяснение:
Приложения:

Вас заинтересует
2 года назад
2 года назад
2 года назад
2 года назад
8 лет назад
8 лет назад
9 лет назад
9 лет назад