Ответы
Ответ дал:
0
Ответ:
Ответ на фотофотофотофотофото
Объяснение:
Приложения:

Ответ дал:
0
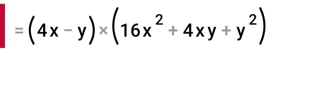
Вложение фото решения и ответа.
Приложения:

Вас заинтересует
2 года назад
2 года назад
2 года назад
9 лет назад
9 лет назад