Ответы
Ответ дал:
1
ххххххххххххххххххххххххххххххххххххххх
Приложения:

romantuncov:
на 6 ответ пожалуйста
Ответ дал:
1
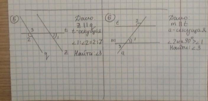
Ответ:
5 угол3=140
6угол 3=45
Объяснение:
5.угол 2 =Углу 3 тк они вертикальны
Обозначим угол 4, который =Углу 1 тк они вертикальные. Тк прямы паралельны, то угол 3+угол4=180°
Обозначим угол 1 за 2 части, а угол 2 за 7 частей(из условия)
Значит угол 3 =7 частей, а угол4=2 части7х+2х=180°
9х=180
Х=20
Значит угол 3 =20×7=140°
--------------------------------------
6 поставим угол 4 вертикальный углу 2 значит
Они будут =тк прямы паралельны значит угол 1+угол2=180 градусов пусть угол 1 будет х, а угол х+90
Значит х+х=180-90
2х=90
Х=45
Значит угол 1 =45
Угол 1=углу 3 тк вертикальны
Значит угол 3 =45 градусов
Вас заинтересует
2 года назад
2 года назад
2 года назад
2 года назад
8 лет назад
8 лет назад
9 лет назад