• Предмет: Математика
  • Автор: ajlakrasnikova
  • Вопрос задан 7 лет назад

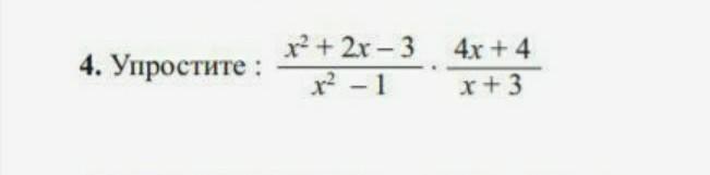
Упростите:
x²+2x-3 / x²-1 × 4x+4 / x+3

Помогите пожалуйста​

Приложения:

Ответы

Ответ дал: H2Oshechka
0

Ответ:

x = 4

Решение:

 \frac{x{}^{2}  + 2x - 3}{(x - 1)(x  +  1)}  + \frac{4(x + 1)}{x + 3}

 \frac{x \times (x + 3) - (x + 3)}{x - 1}  \times  \frac{4}{x  + 3}

 \frac{(x + 3)(x - 1)}{x - 1}  \times  \frac{4}{x + 3}

Сокращаем:

(Сокращаем выражение на x+3, следом сокращаем на х-1)

По итогу осталась цифра 4, что и будет являться ответом.

x = 4

Вас заинтересует