Ответы
                                            Ответ дал: 
                                                                                    
                                        
                                            
                                                
                                                
                                                
                                                    1
                                                
                                            
                                        
                                    Ответ:
Объяснение:
смотри
Приложения:
                     
                            
                    
                    можете через дискриминант?
                
            
                    
                    там 2 непонятно куда делся
                
            
                    
                    квадрат
                
            
                                            Ответ дал: 
                                                                                    
                                        
                                            
                                                
                                                
                                                
                                                    0
                                                
                                            
                                        
                                    Ответ:
(-∞;+∞)
Объяснение:
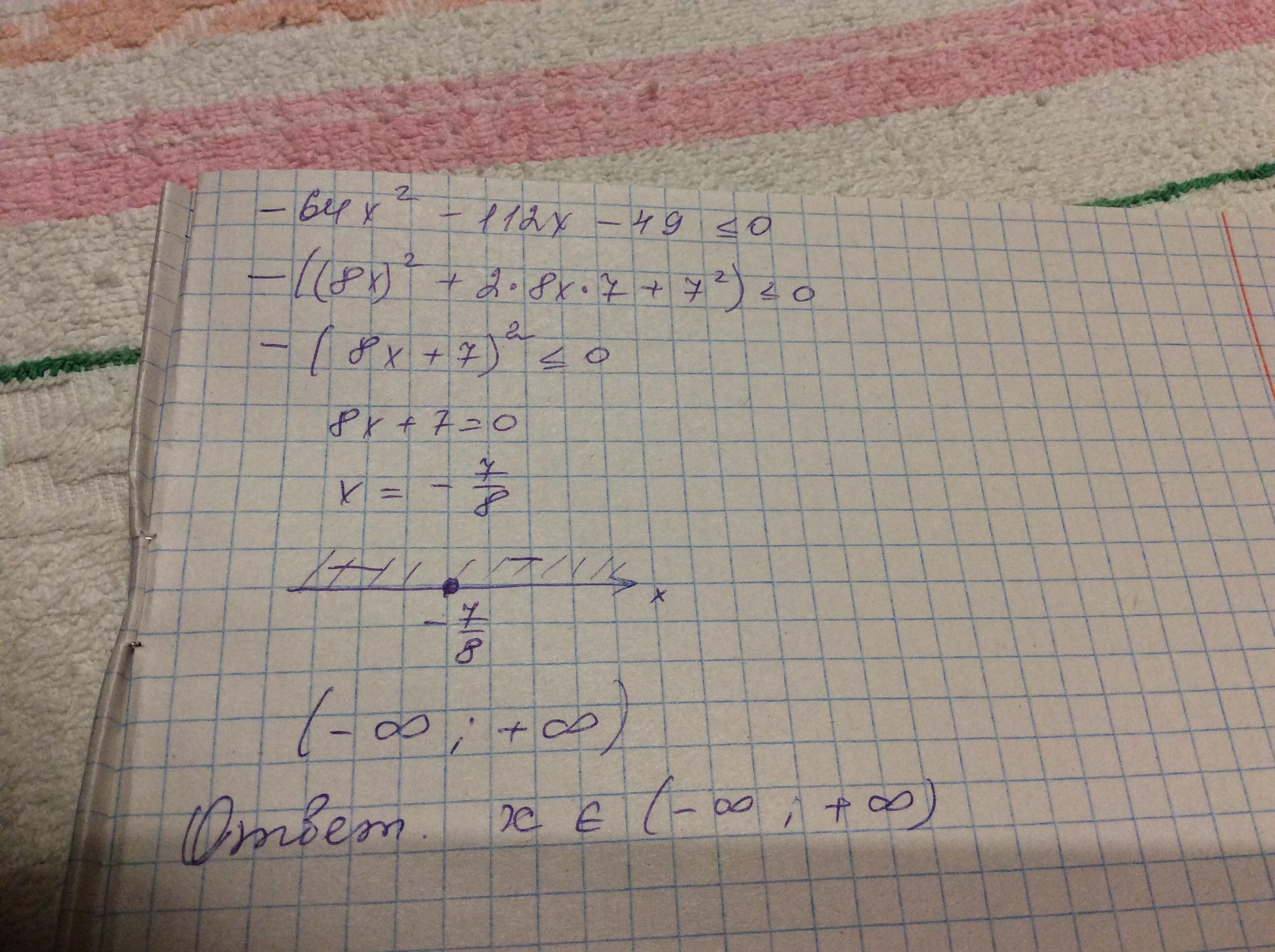
решаем,приравнивая это неравенство к 0,квадратное уравнение.
находим его корень ,это х=- 7/8,отмечаем это число на координатной
прямой и строим схематически параболу.Т.к. а<0, то ветви параболы направлены вниз и вся парабола расположена ниже оси ох.
поэтому решением будет промежуток (-∞;+∞)
Приложения:
                     
                            Вас заинтересует
                
                        2 года назад
                    
                
                        2 года назад
                    
                
                        2 года назад
                    
                
                        2 года назад
                    
                
                        8 лет назад
                    
                
                        8 лет назад
                    
                