• Предмет: Математика
  • Автор: Аноним
  • Вопрос задан 7 лет назад

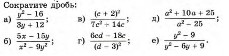
Решите пожалуйста очень нужно

Приложения:

Ответы

Ответ дал: vlaska441
0

Ответ:вот решение

Пошаговое объяснение:

Приложения:
Вас заинтересует