• Предмет: Математика
  • Автор: Аноним
  • Вопрос задан 7 лет назад

помогите пожалуйста решить
ОЧЕНЬ СРОЧНО НУЖНО!ДАЮ 64 БАЛЛА!​

Приложения:

Ответы

Ответ дал: Egorihh
1

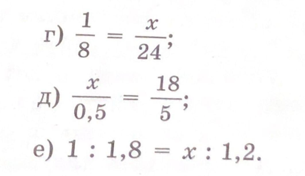
г)24=8x

8x=24 |:8

x=3

д)x/1/2=18/5

2x=18/5 |:2

x=9/5 (или 1,8)

е)5/9•1,2=x

5/9•6/5=x (сокращаем)

1/3•2=x

2/3=x

x=2/3

Ответ дал: Аноним
1

если пропорция верна, произведение ее крайних членов равно произведению средних. это и используем.

1) х=1*24/8=3

2) х=18*0.5/5=1.8

3) х=1*1.2/1.8=12/18=2/3

Вас заинтересует