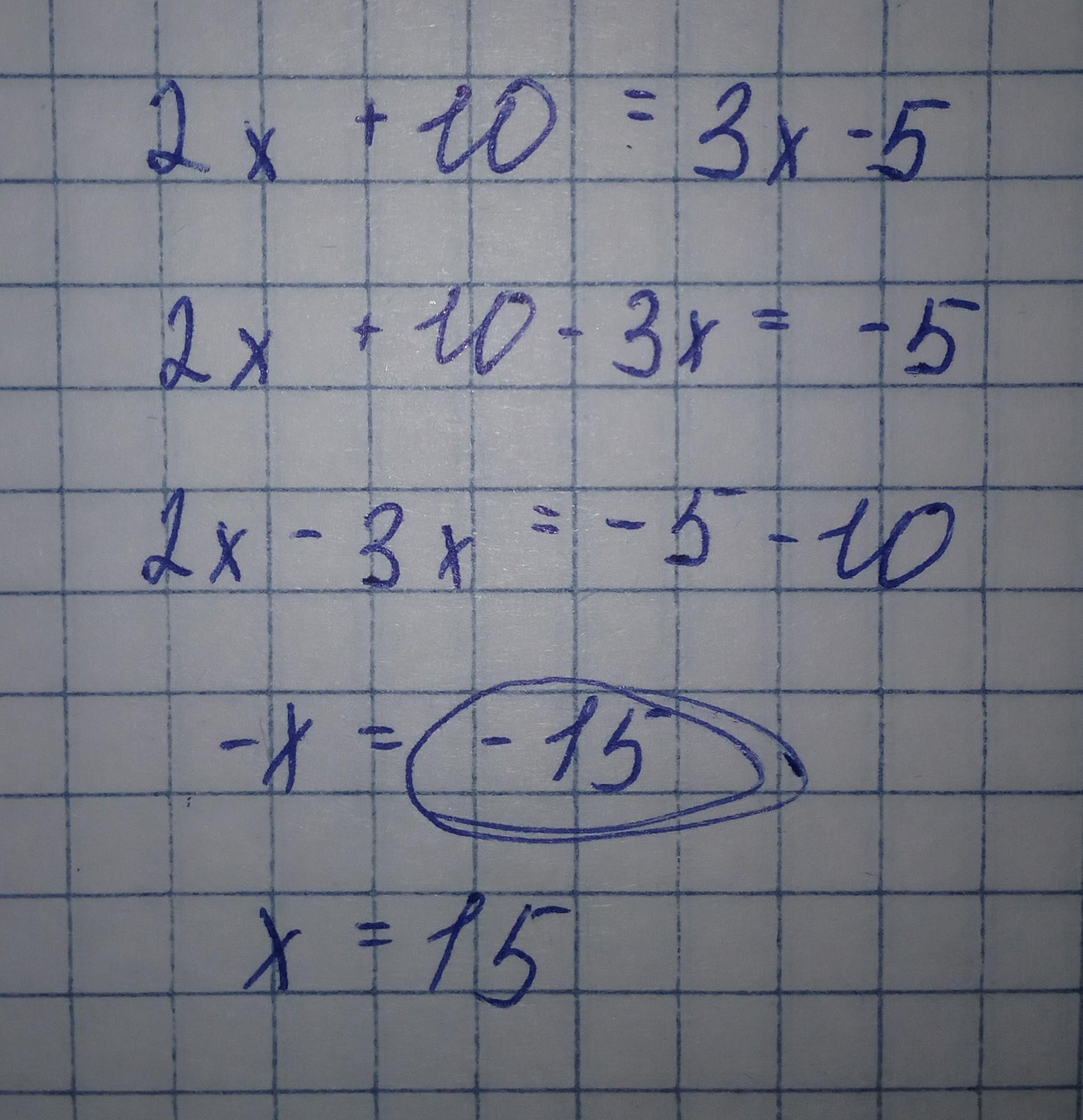
2x+10=3x-5
Срочно пж ​

Ответы

Ответ дал: kolesnikovaana86
2

думаю так

Пошаговое объяснение:

................

Приложения:

Cohendd: ответ добавьте
kolesnikovaana86: так как перед х стоит -1 мы эту единицу потом делим на -15/. -15:-1=15 и вот ответ
Cohendd: нажмите карандашик и вместо "думаю так" напишите х=15
Cohendd: фото оставьте
kolesnikovaana86: как хочу так и пишу,у вас я не спрашивала как и что писать
Cohendd: Тогда "неполный ответ"((
kolesnikovaana86: ну что поделать
kolesnikovaana86: я даполнила его в комментариях
Cohendd: Это не считается. Нужен верный ответ. 2 часа не прошло. Можете редактировать. Тем более сейчас комментарии "уплывают".
Вас заинтересует