Срочно нужна помощь
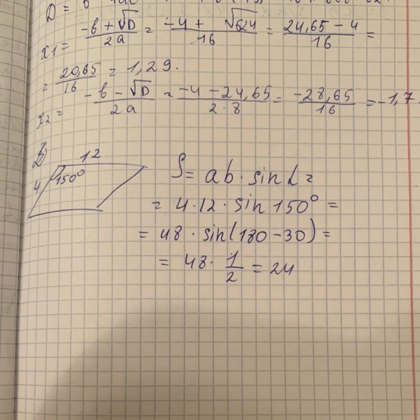
В параллелограмме ABCD стороны равны 4 см и 12 см, а один из углов равен 150° найдите площадь параллелограмма
Ответы
Ответ дал:
0
не обращай внимание на записи сверху. S=ab*sina
Приложения:

Вас заинтересует
2 года назад
2 года назад
2 года назад
2 года назад
8 лет назад
8 лет назад
9 лет назад