• Предмет: Математика
  • Автор: Аноним
  • Вопрос задан 7 лет назад

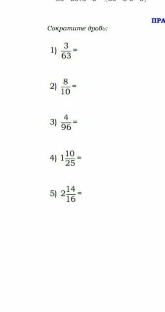
математика 5 класс срочно помогите ​

Приложения:

Ответы

Ответ дал: ruslanamelnykovar
1

Ответ:

1. 1/31 2. 4/5 3. 1/24 4. 7/6 5.23/8. Вроде так


Аноним: эт точно правильно ?
Аноним: спасибо
Ответ дал: dianaskra
1
3/63 = 1/21 сократили на 3; 8/10 = 4/5 сократили на 2; 4/96 = 1/24 сократили на 4; 1 целая 10/25 = 1целая 2/5 сократили на 5; 2 14/16 = 2 целых 7/8 сократили на 2
надеюсь помогла!;)

Аноним: сп
Аноним: спасибо
Вас заинтересует