• Предмет: Алгебра
  • Автор: dsa97137
  • Вопрос задан 7 лет назад

помогиье с алгеброй ​

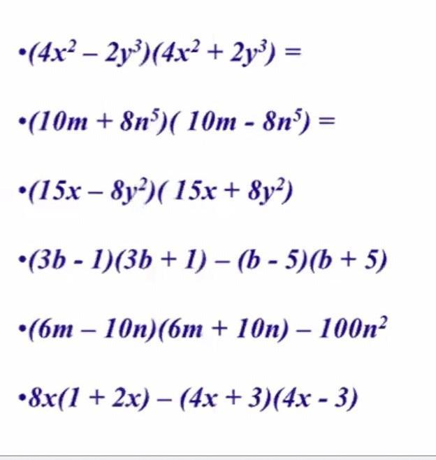
Приложения:

Ответы

Ответ дал: wturm
0

1) \:  \: (4 {x}^{2}  - 2 {y}^{2} )(4 {x}^{2}  + 2 {y}^{2} ) =  {(4 {x}^{2} )}^{2} -  {(2 {y}^{2}) }^{2} = 16 {x}^{4}  - 4 {y}^{4}

2) \:  \: (10m + 8 {n}^{2}) (10m -  8 {n}^{2}) =  {(10m)}^{2}  -  {(8 {n}^{2}) }^{2} = 100 {m}^{2}  - 64 {n}^{4} 3) \:  \: (15x - 8 {y}^{2})(15x + 8 {y}^{2}) =  {(15x)}^{2} - {(8 {y}^{2}) }^{2}  = 225 {x}^{2}  - 64 {y}^{4}

4) \:  \: (3b - 1)(3b + 1) - (b - 5)(b  +  5) = 9 {b}^{2}  - 1 - ( {b}^{2}  - 25) = 9 {b}^{2}  - 1 -  {b}^{2}  + 25 = 8 {b}^{2}  + 24

5) \:  \: (6m - 10n)(6m + 10n) - 100 {n}^{2} = 36 {m}^{2}  - 100 {n}^{2} - 100 {n}^{2} = 36 {m}^{2} - 200 {n}^{2}

6) \:  \: 8x(1 + 2x) - (4x + 3)(4x - 3) = 8x + 16 {x}^{2} - (16 {x}^{2}  - 9) = 8x + 16 {x}^{2}  - 16 {x}^{2}  + 9 = 8x + 9

Вас заинтересует