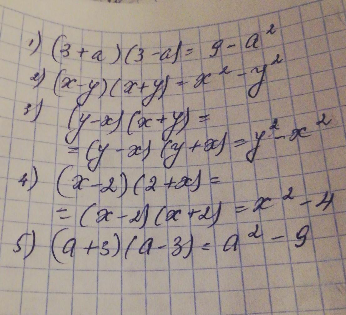
НАйдите соответствие между выражениями и числом
(3+а)(3-а) 9-х в квадрате
(х-у)(х+у) Х в квадрате -у в квадрате
(у-х)(х+у) у-х в квадрате
(х-2)(2+х) 4-х в квадрате
(а+3)(а-3) Х в квадрате -9
Помгите пожалуйста у меня только 10 баллов
Ответы
Ответ дал:
1
Ответ:
Смотри решение на фото..
Приложения:

larisaserova53:
Вот такие ответы должны быть!!!
Вас заинтересует
2 года назад
2 года назад
2 года назад
8 лет назад
8 лет назад
9 лет назад