• Предмет: Алгебра
  • Автор: tanakrylova1961
  • Вопрос задан 7 лет назад

помогите по всем 3-ём pls​

Приложения:

Ответы

Ответ дал: MagdaSinger
3

Ответ:

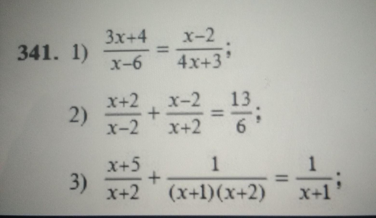
  \dfrac{ 3x+4  }{ x-6  }  = \dfrac{ x-2  }{ 4x+3  }  |*(x-6)(4x+3) \\
x\neq \dfrac{3}{4} \\
x\neq 6\\
(4x+3)(3x+4)=(x-6)(x-2)\\
12x^2+25x+12=x^2-8x+12\\
12x^2+25x+12-x^2+8x-12=0\\
11x^2+33x=0 |/11\\
x^2+3x=0\\
x(x+3)=0\\
x=0\\
x=-3

  \dfrac{ x+2  }{ x-2 }  + \dfrac{ x-2  }{ x+2  }  = \dfrac{ 13  }{ 6  } |*6(x-2)(x+2)   \\
x\neq 2\\
x\neq -2\\
6x^2+24x+24+6x^2-24x+24=13x^2-52\\
12x^2+48=13x^2-52\\
12x^2+48-13x^2+52=0\\
-x^{2} +100=0\\
-x^{2} =-100\\
x^{2} =100\\
x=-10\\
x=10

  \dfrac{ x+5  }{ x+2  }  + \dfrac{ 1  }{ (x+1)(x+2)  }  = \dfrac{ 1  }{ x+1  } |* (x+1)(x+2)   \\
x\neq -2\\
x\neq -1\\
(x+1)(x+5)+1=x+2\\
x^2+6x+5+1=x+2\\
x^2+5x+6-2=0\\
x^2+5x+4=0\\
\sqrt{D} =\sqrt{25-4*1*4} =3\\
x_{1} =\dfrac{-5+3}{2} =-1\\
x_{2} =\dfrac{-5-3}{2} =-4\\
onvet :x=-4\\
x\neq -1

Объяснение:


Аноним: здравствуйте вы не могли бы вы мне помочь с алгеброй пожалуйста
Вас заинтересует