Ответы
Ответ дал:
0
Ответ:
Смотри решение на фото.
Приложения:

Ответ дал:
0
Ответ:
Пошаговое объяснение:
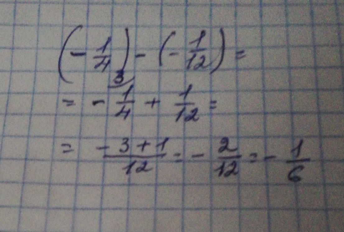
-1/4 - (-1/12) = -1/4 + 1/12 = -3/12 + 1/12 = -2/12 = -1/6
Вас заинтересует
2 года назад
2 года назад
8 лет назад
8 лет назад
9 лет назад