• Предмет: Алгебра
  • Автор: khadiiusha07dar
  • Вопрос задан 7 лет назад

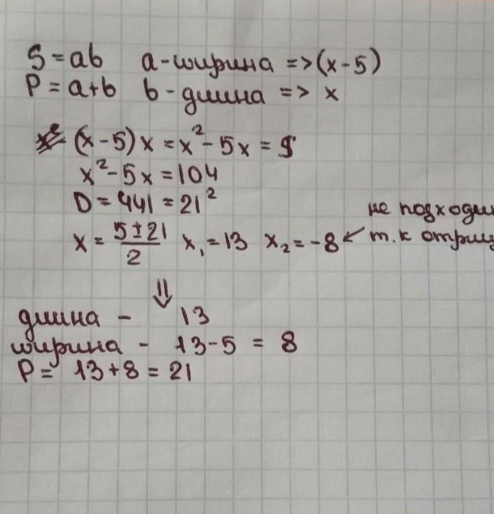
длина прямоугольника больше ширины на 5 см, а площадь его равна 104 см² найдите периметр прямоугольника решите пожалуйста!! решение квадратных уравнений используя задачи прошу помогите пожалуйста ❤️❤️❤️❤️❤️❤️❤️❤️❤️❤️❤️❤️❤️❤️❤️​

Ответы

Ответ дал: jonyhataqiz
0

Ответ:

Закрепик)Просьба лучший ответик)

Приложения:

jonyhataqiz: правильно)
khadiiusha07dar: где ты был раньше?
jonyhataqiz: незнаб
jonyhataqiz: сорри если не успел
khadiiusha07dar: ладно,все равно спасибо
Вас заинтересует