• Предмет: Химия
  • Автор: scfija
  • Вопрос задан 7 лет назад

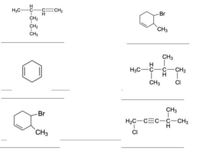
Напишите названия данных атомов углерода!

Приложения:

Ответы

Ответ дал: usit
1

Ответ:

1) 2-метил 2-этилбутан 2) бензольное кольцо 3) бромотолуген

Объяснение:

4) неопентан             надеюсь помог

Вас заинтересует