• Предмет: Математика
  • Автор: izbumagibudemdelat
  • Вопрос задан 7 лет назад

Помагите пожалуста срочно ​

Приложения:

jekadva: = -26,68
Zombynella: Спасибо)

Ответы

Ответ дал: vipvaleri28
1

Пошаговое объяснение:

Вот ответ..................................

Приложения:
Ответ дал: Zombynella
0

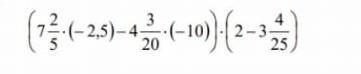
Ответ:

В решении.

Пошаговое объяснение:

Сразу по действиям:

1) 7 2/5 * (-2,5) =

= 7,4 * (-2,5) = -18,5;

2) 4 3/20 * (-10) =

= 4,15 * (-10) = -41,5;

3) -18,5 - (-41,5) =

= -18,5 + 41,5 = 23; - первые скобки;

4) 2 - 3 4/25 =

= 2 - 3,16 = -1,16; - вторые скобки;

5) 23 * (-1,16) = -26,68. Ответ примера.

Вас заинтересует