• Предмет: Алгебра
  • Автор: okegcauk666
  • Вопрос задан 7 лет назад

помогите пожалуйста прошу вас!!!!!​

Приложения:

Ответы

Ответ дал: NNNLLL54
0

Ответ:

\boxed{\ \ x^2+px+q=0\ \ \Rightarrow \ \ \ \left\{\begin{array}{l}x_1\cdot x_2=q\\x_1+x_2=-p\end{array}\right\ \ \ (teorema\ Vieta)\ }

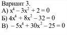
1)\ \ x^4-3x^2+2=0\\\\t=x^2\geq 0\ \ ,\ \ t^2-3t+2=0\ \ ,\ \ t_1=1\ ,\ t_2=2\ \ (teorema\ Vieta)\\\\x^2=1\ \ \to \ \ x=\pm 1\\\\x^2=2\ \ \to \ \ x=\pm \sqrt2\\\\Otvet:\ x_1=-1\ ,\ x_2=1\ ,\ x_3=-\sqrt2\ ,\ x_4=\sqrt2\ .

2)\ \ 4x^4+8x^2-32=0\\\\y=x^2\geq 0\ \ ,\ \ \ 4y^2+8y-32=0\ \ ,\ \ y^2+2y-8=0\ \ ,\\\\y_1=-4<0\ \ ne\ podxodit\ \ ,\ y_2=2\ \ (teorema\ Vieta)\\\\x^2=2\ \ \to \ \ x=\pm \sqrt2\\\\Otvet:\ \ x_1=-\sqrt2\ ,\ x_2=\sqrt2\ .\\\\\\3)\ \ -5x^4+30x^2-25=0\ \ \to \ \ \ \ x^4-6x^2+5=0\ ,\\\\z=x^2\geq 0\ \ ,\ \ \ z^2-6z+5=0\ \ ,\ \ \ z_1=1\ ,\ z_2=5\ \ (teorema\ Vieta)\\\\x^2=1\ \ \to \ \ x=\pm 1\\\\x^2=5\ \ \to \ \ x=\pm \sqrt5\\\\Otvet:\ \ x_1=-1\ ,\ x_2=1\ ,\ x_3=-\sqrt5\ ,\ x_4=\sqrt5\ .

Вас заинтересует