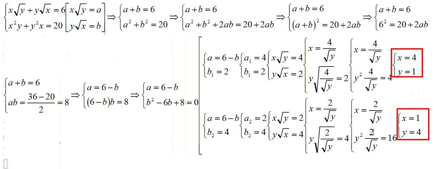
{xy+yx=6
{x2y+y2x=20
решите систему уравнений
didenkosvidkist:
знак радикала не сохранился, там x√y+y√x и я пытался изменить вопрос
а то оно сползло вверх и его не видно
тут квадраты вместо двоек
Ответы
Ответ дал:
1
Ответ:
во вложении
Объяснение:
Приложения:

было написано игрек квадрат умножить на 4 и делить на корень ...
сейчас исправлено игрек квадрат умножить на 2 и делить на корень ...
Вас заинтересует
2 года назад
2 года назад
2 года назад
2 года назад
8 лет назад
8 лет назад
9 лет назад