• Предмет: Математика
  • Автор: versachexdior
  • Вопрос задан 7 лет назад

Сколько корней имеет уравнение?​

Приложения:

Lunixmolodoy: 4 корня

Ответы

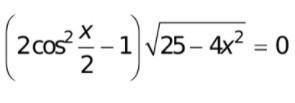
Ответ дал: Аноним
2

2cos²x/2=1+cosx

перепишем уравнение.

(1+cosx-1)*√(25-4х²)=0

ОДЗ уравнения  найдем из неравенства. 25-4х²≥0; (5-2х)*(5+2х)≥0;

Решим неравенство методом интервалов. х=±2.5;

______-2.5__________2.5_____________

-                          +                          -

х∈[-2.5;2.5]

cosx=0; х=π/2+πn; n∈Z

-2.5≤π/2+πn≤2*5

-5≤π+2πn≤5

-5-π≤2πn≤5-π

-5/2π-1/2≤n≤5/2π-1/2, если взять примерно π≈3.14, то

-2.5/3.14-0.5≤n≤2.5/3.14-0.5,

-1.3≤n≤0.3,

если n=-1, то х=π/2-π=-π/2; входит в ОДЗ

если n=0, то х=π/2; входит в ОДЗ

значит, уравнение имеет четыре корня. х=2.5; х=-2.5; х=-π/2; х=-π/2

Ответ 4

Вас заинтересует