• Предмет: Алгебра
  • Автор: kseniianemigalova
  • Вопрос задан 7 лет назад

Решите ПОЖАЛУЙСТА!!! ОЧЕНЬ СРОЧНО!!! И если можно подробно!!

Приложения:

Ответы

Ответ дал: kvez
0

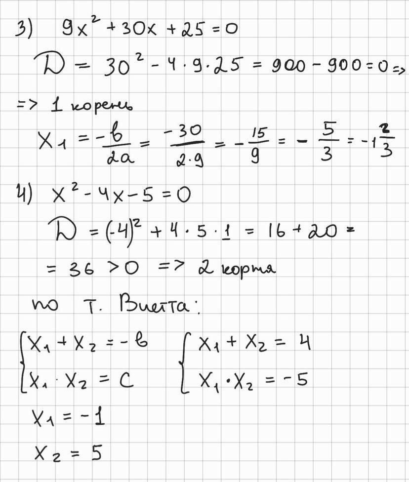
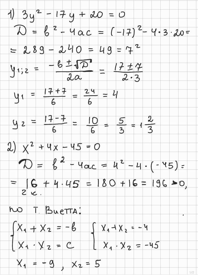
Ответ:

1. y1 = 4; у2= 1 2/3

2. х1= -9; х2=5

3. х= -1 2/3

4. х1= -1; х2= 5

Приложения:
Вас заинтересует