какой двучлен надо сложить с многочленом 34 ay - 12 a ^ 3 + 6,5 чтобы получился многочлен не содержащий переменную у
Ответы
Ответ дал:
0
Объяснение:
вот шспмщрсшмзршквщепхгмщвштщр
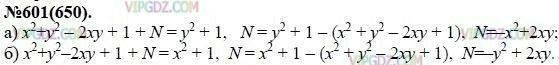
Приложения:

Вас заинтересует
2 года назад
2 года назад
8 лет назад
8 лет назад