Ответы
Ответ дал:
0
Ответ:
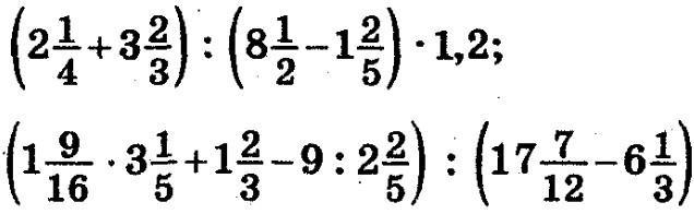
(2,1/4+3,2/3):(8,1/2-1,2/5)*1,2=(9/4+11/3):(17/2-7/5)*1,2
1)9/4+11/3=27/12+44/12=71/12
2)17/2-7/5=85/10-14/10=71/10
3)71/12:71/10=71/12*10/71=5/6.
4)5/6*1,2/10=5/6*12/10=2/2=1.
(25/16*16/5+5/3-9:12/5):(211/12-19/3)=
1)25/16*16/5=5
2)9:9/12=9/1*12/9=12
3)5+5/3=15/3+5/3=20/3
4)20/3-12=20/3-36/3=-16/3
5)211/12-19/3=211/12-76/12=135/12
6)-16/3:135/12=-16/3*12/135=-64/135.
Если ошиблась, напишите где
Ответ дал:
0
Ответ:
решение на фото по действиям
Приложения:


Vikaboligor:
надеюсь помогла
Вас заинтересует
2 года назад
2 года назад
2 года назад
8 лет назад
8 лет назад
9 лет назад