• Предмет: Алгебра
  • Автор: pmabdulaeva
  • Вопрос задан 7 лет назад

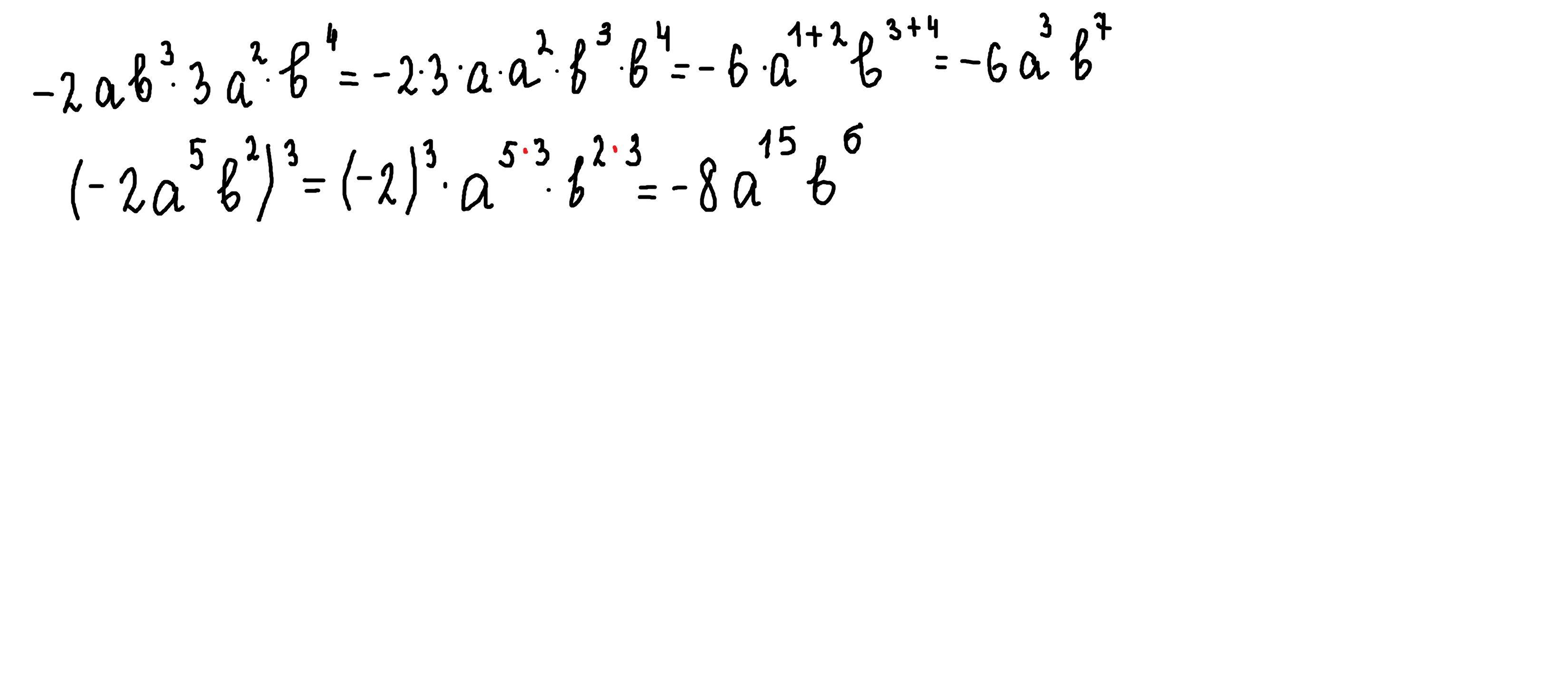
-2 ав³ · 3 а²·в4 ←степень=
(-2а5←степень в²)³=

Ответы

Ответ дал: parus77
1

Ответ:

Объяснение:   при умножении степеней с одинаковым основанем показатели складываются,а при возведение втепени в степень-умножаются

если правильно разобралась с вашей записью,то тогда так :

Приложения:

pmabdulaeva: спасибки
Вас заинтересует