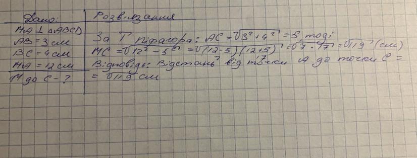
Відрізок МА перпендикулярний до площини прямокутника ABCD, у якого AB=3 см, ВС=4 см. Знайдіть відстань від точки М до точки С, якщо МА=12 см
Помогите срочно 30 БАЛЛОВ
Ответы
Ответ дал:
1
Ответ:
10 см
Объяснение:
По теореме Пифагора АС =√3²+4²=5,по той же теореме:
МС=√12²-5²=10 см
Ответ дал:
1
не уверенна только в том, что правильно написала что нужно найти, а так все должно быть правильно
Приложения:

eh5951:
упс, ошиблась там где корень 12-5 в квадрате, в ответе выше правильно
Вас заинтересует
2 года назад
2 года назад
2 года назад
9 лет назад
9 лет назад