• Предмет: Математика
  • Автор: diana29rus
  • Вопрос задан 7 лет назад

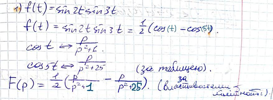
f(t)=sin2tsin3t
ОПЕРАЦИОННОЕ ИСЧИСЛЕНИЕ, ДАЮ ВСЁ ЧТО ОСТАЛОСЬ

Ответы

Ответ дал: yevheniiavz
0

Відповідь:

ответ на фото.

Приложения:
Вас заинтересует