пожалуйста, очень срочно
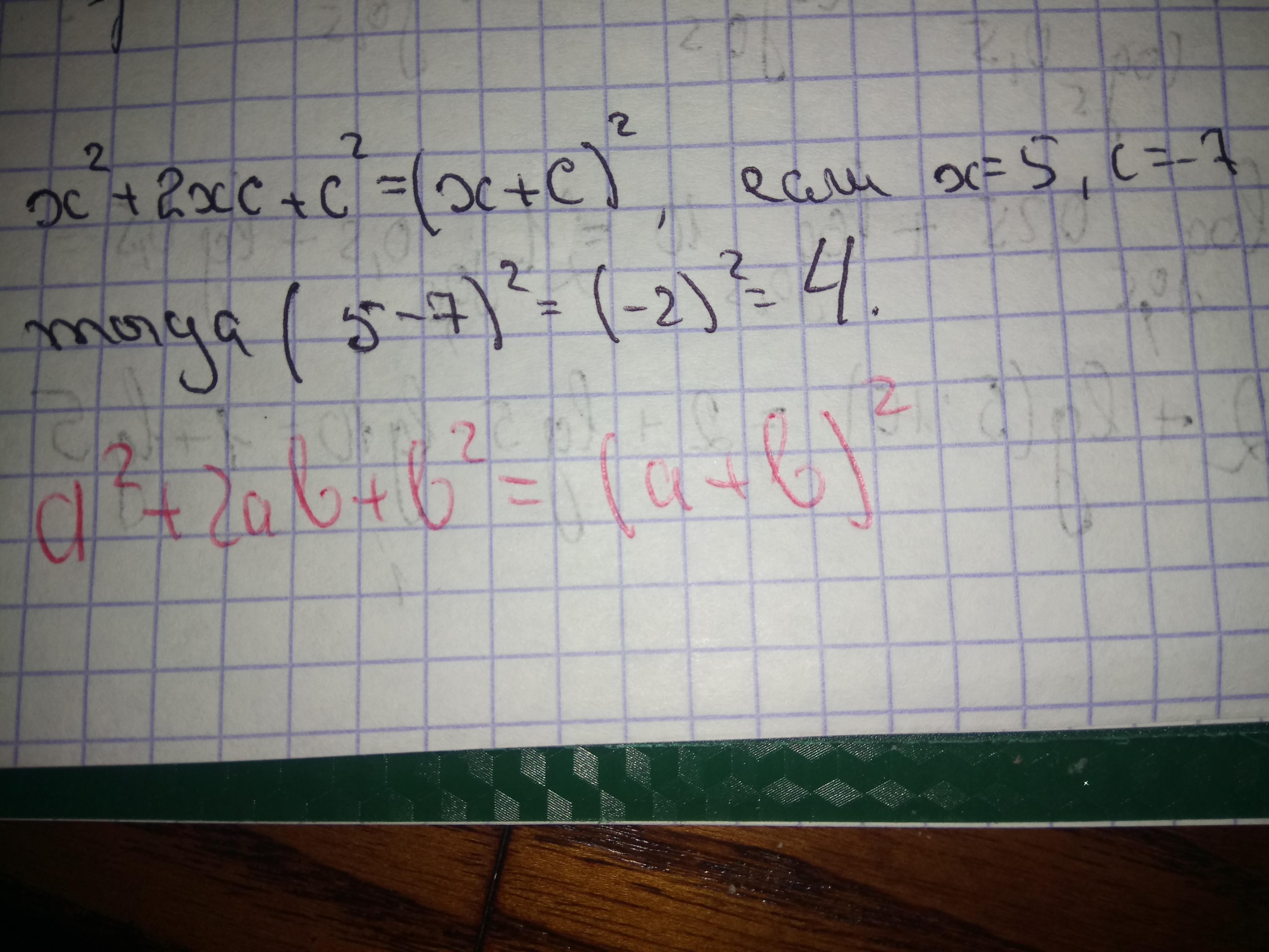
Найди значение многочлена х2 + 2xc+c2 при х=5 и с=7.
Числовое значение многочлена равно….
Приложения:

Ответы
Ответ дал:
2
Ответ: 4
Объяснение:фото
Приложения:

Вас заинтересует
2 года назад
2 года назад
8 лет назад
8 лет назад
9 лет назад