• Предмет: Математика
  • Автор: lolilolaia
  • Вопрос задан 7 лет назад

срочно пожалуйста помогите

Приложения:

Ответы

Ответ дал: ChloeDecker
0

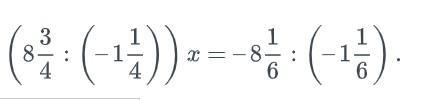
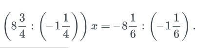
\displaystyle (8\frac{3}{4}:(-1\frac{1}{4}))x=-8\frac{1}{6}:(-1\frac{1}{6})\\
 (\frac{35}{4}:(-\frac{5}{4}))x=-\frac{49}{6}:(-\frac{7}{6})\\
 (-\frac{35}{4}*\frac{4}{5})x=\frac{49}{6}*\frac{6}{7}\\
 (-7)x=7\\
 -7x=7\\
 x=-1

Вас заинтересует