Ответы
Ответ дал:
1
Ответ:
x^2-5/x+sqrt5=x-sqrt5
Объяснение:
x^2-5=(x+sqrt5)(x-sqrt5)
x^2-5=x^2-5
x^2=x^2
x=x x любое число кроме sqrt5
Ответ дал:
1
Объяснение:
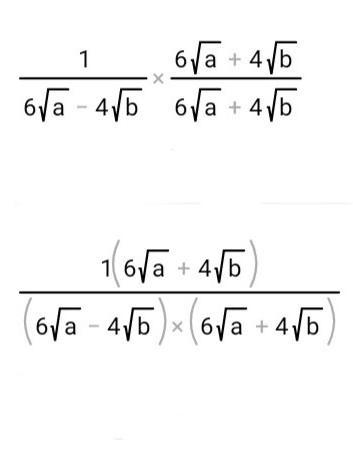
это правда я старалась:) я думаю это правильно :)
Приложения:




Вас заинтересует
2 года назад
2 года назад
2 года назад
2 года назад
8 лет назад