• Предмет: Алгебра
  • Автор: ratatujgorc51
  • Вопрос задан 7 лет назад

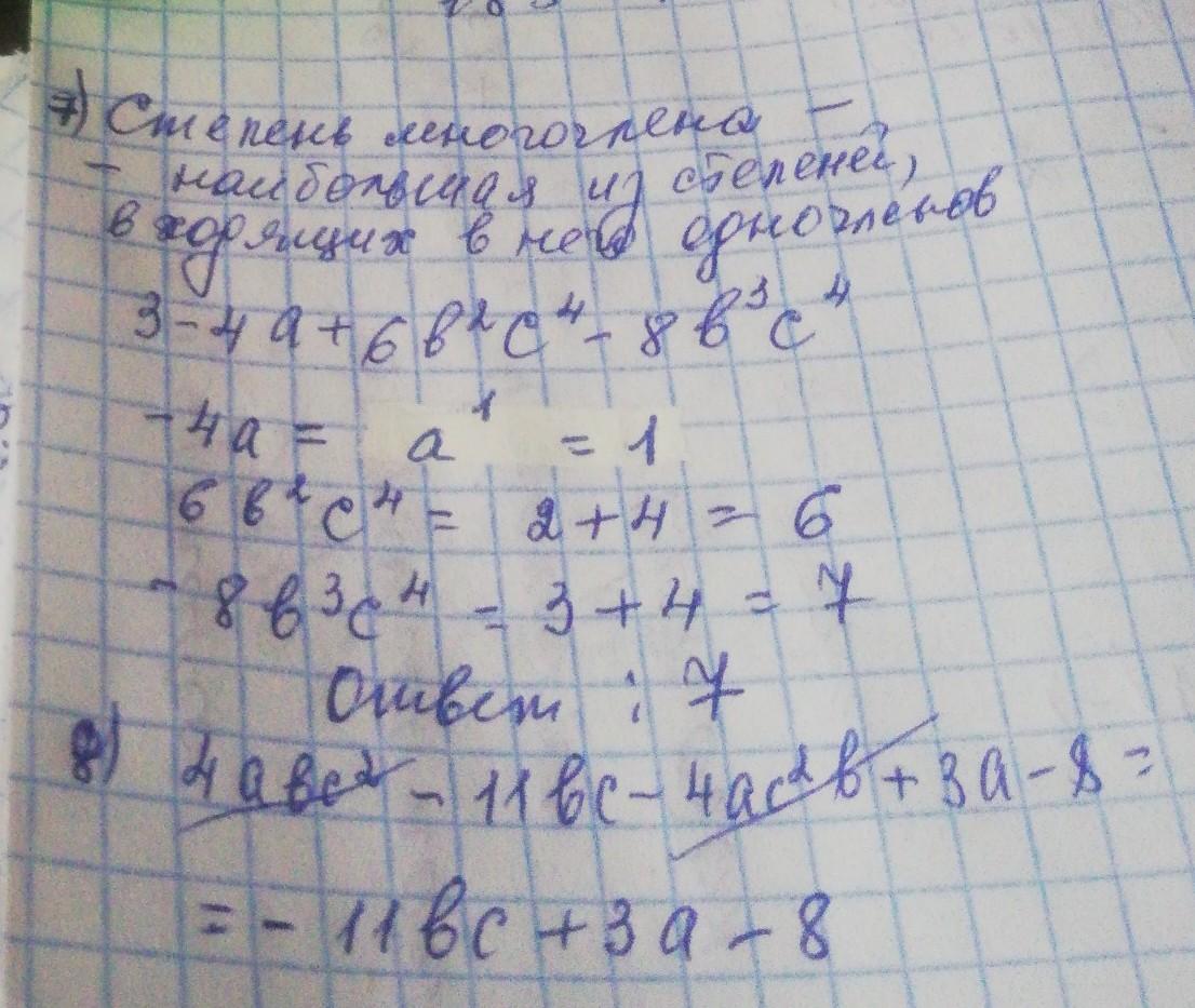
3-4a+6b^2c^4-8b^3c^4 ( найти степень)

РКШИТЕ СРОЧНО ХОТЯ ЬЫ ПЕРВОЕ

4abc^2-11bc-4ac^2b+3a-8 ( к стандартному виду)




На фото часть 2 и часть 3 это то что написано

Приложения:

Ответы

Ответ дал: larisaserova53
0

Ответ:

Смотри решение на фото...

Приложения:

larisaserova53: В 7)задании степени 1;6;7. Из них выбираем самую наибольшую(это 7 степень). яЭто и будет степень многочлена
larisaserova53: Если что-то непонятно, спрашивай-отвечу
Вас заинтересует