Ответы
Ответ дал:
1
Ответ:
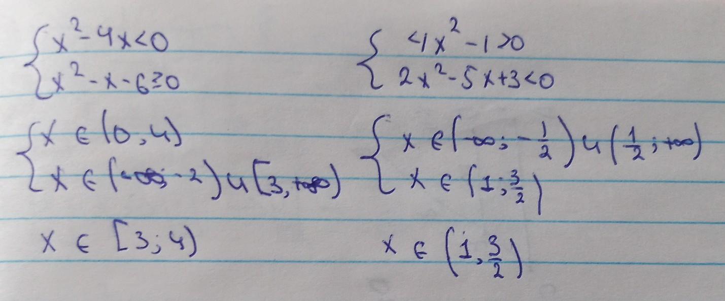
Вот решение системы неравенств алгебраическим способом.
Приложения:

Вас заинтересует
2 года назад
2 года назад
2 года назад
8 лет назад
9 лет назад