• Предмет: Математика
  • Автор: sofjatanis
  • Вопрос задан 7 лет назад

Помогите пожалуйста,СРОЧНО
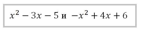
Выполните сложение многочленов *

Приложения:

Ответы

Ответ дал: dashulka228
0
Ответ: x+1
Там же надо просто упростить?
Вас заинтересует