• Предмет: Алгебра
  • Автор: fost9033
  • Вопрос задан 7 лет назад

Помогите решить пример

Приложения:

Ответы

Ответ дал: gifeefdww
2

Объяснение:

Боаблаьуоуоьуталулудцщцщ

ушшаша

цшушлу

вшу

Приложения:
Ответ дал: OblivionFire
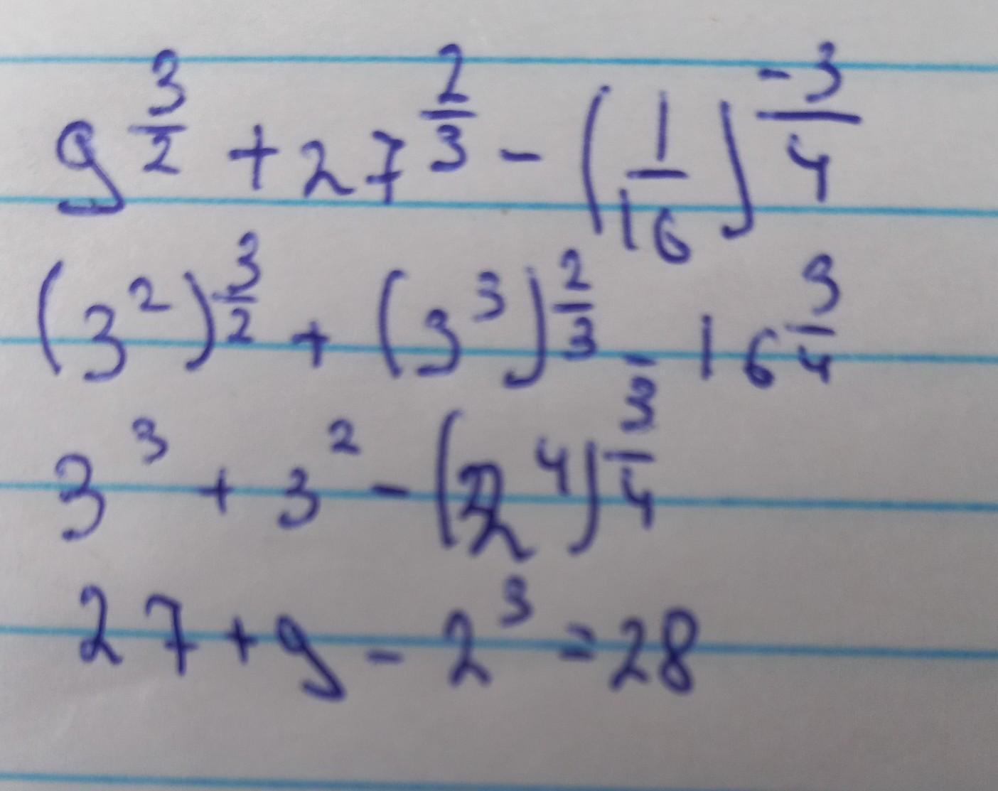
5

 \displaystyle9 {}^{ \frac{3}{2} }  + 27 {}^{ \frac{2}{3} }  - ( \frac{1}{16} ) {}^{ -  \frac{3}{4} }  = (3 {}^{2} ) {}^{ \frac{3}{2} }  + (3 {}^{3} ) {}^{ \frac{2}{3} }  - 16 {}^{ \frac{3}{4} }  = 3 {}^{ \not2 \times  \frac{3}{ \not2} }  + 3 {}^{ \not3 \times  \frac{2}{ \not3} }  - (2 {}^{4} ) {}^{ \frac{3}{4} }  = 3 {}^{3}  + 3 {}^{2}  - 2 {}^{ \not4 \times  \frac{3}{ \not4} }  = 27 + 9 - 2 {}^{3}  = 36 - 8 = 28.

Вас заинтересует