• Предмет: Алгебра
  • Автор: 1ellya1
  • Вопрос задан 7 лет назад

СРОЧНО ДАЮ 70 БАЛОВ!!

Приложения:

Ответы

Ответ дал: Пеппер
2

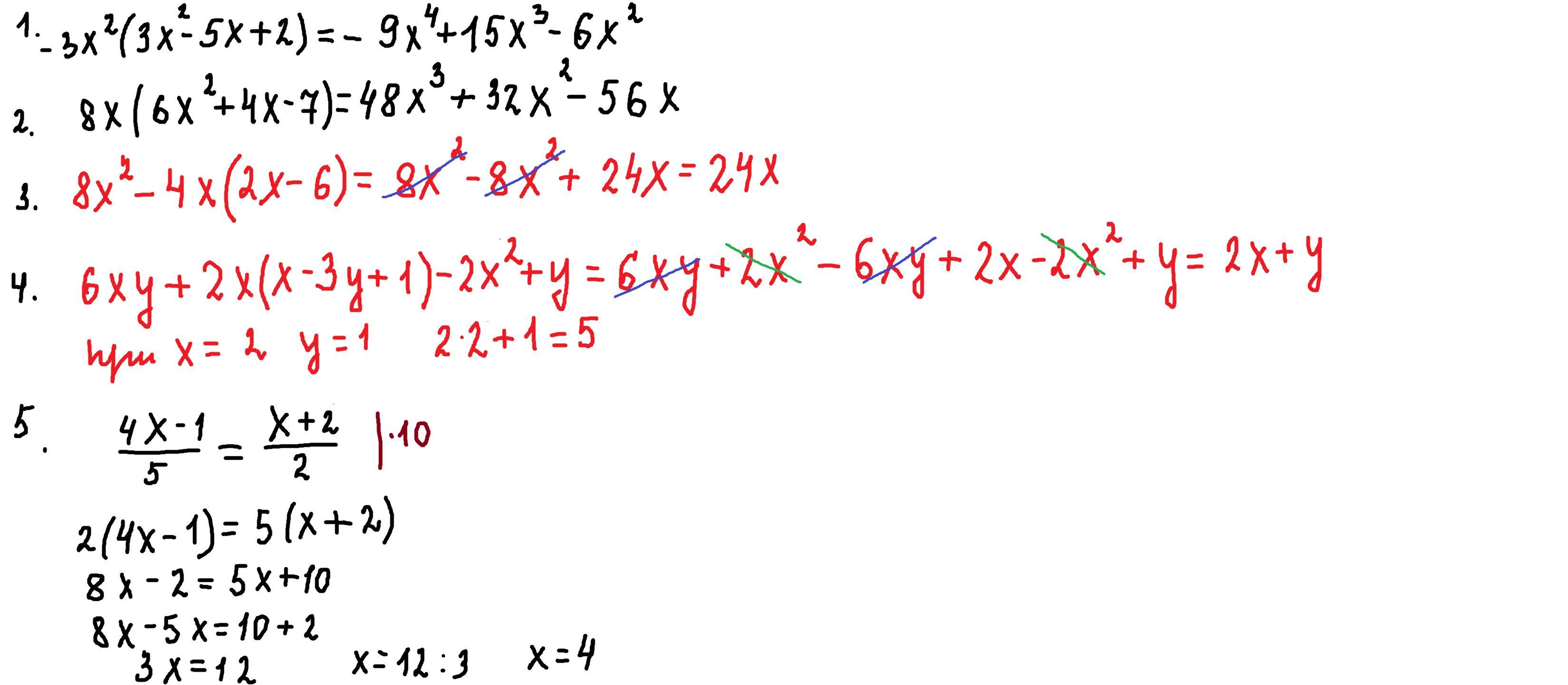
1). -3х²(3х²-5х+2)=-9х⁴+15х³-6х²

2). 8х(6х²+4х-7)=48х³+32х²-56х

3). 8х²-4х(2х-6)=8х²-8х²+24х=24х

4). 6ху+2х(х-3у+1)-2х²+у=6ху+2х²-6ху+2х-2х²+у=2х+у

при х=2   у=1

2х+у=4+1=5.

5). (4х-1)/5=(х+2)/2

8х-2=5х+10

8х-5х=10+2

3х=12;  х=4.


1ellya1: СПАСИБО БОЛЬШОЕ!!!!!!
parus77: author link
Пеппер -проверьте решение 4 примера.После раскрытия скобок вы не дописали -2х^2+y......
Ответ дал: parus77
1

Ответ:

Объяснение:

решение внизу

Приложения:

1ellya1: спасибки!
Вас заинтересует