• Предмет: Алгебра
  • Автор: urcisinoleksandr
  • Вопрос задан 7 лет назад

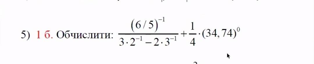
"Обчислити" ПОЖАЛУЙСТА ПОМОГИТЕ.

Приложения:

Ответы

Ответ дал: taisasnitko
0

Ответ:

Объяснение: = 5/6 : (3/2-2/3) + 1/4·1=5/6: 5/6 + 1/4=1+1/4=1 1/4.

Вас заинтересует