• Предмет: Математика
  • Автор: Pllaton
  • Вопрос задан 7 лет назад

(X + 1/7) -4/6=2/6
Мне нужно пояснение,те кто шарят, отзовитесь срочнооо пжшка.
30 балов!​


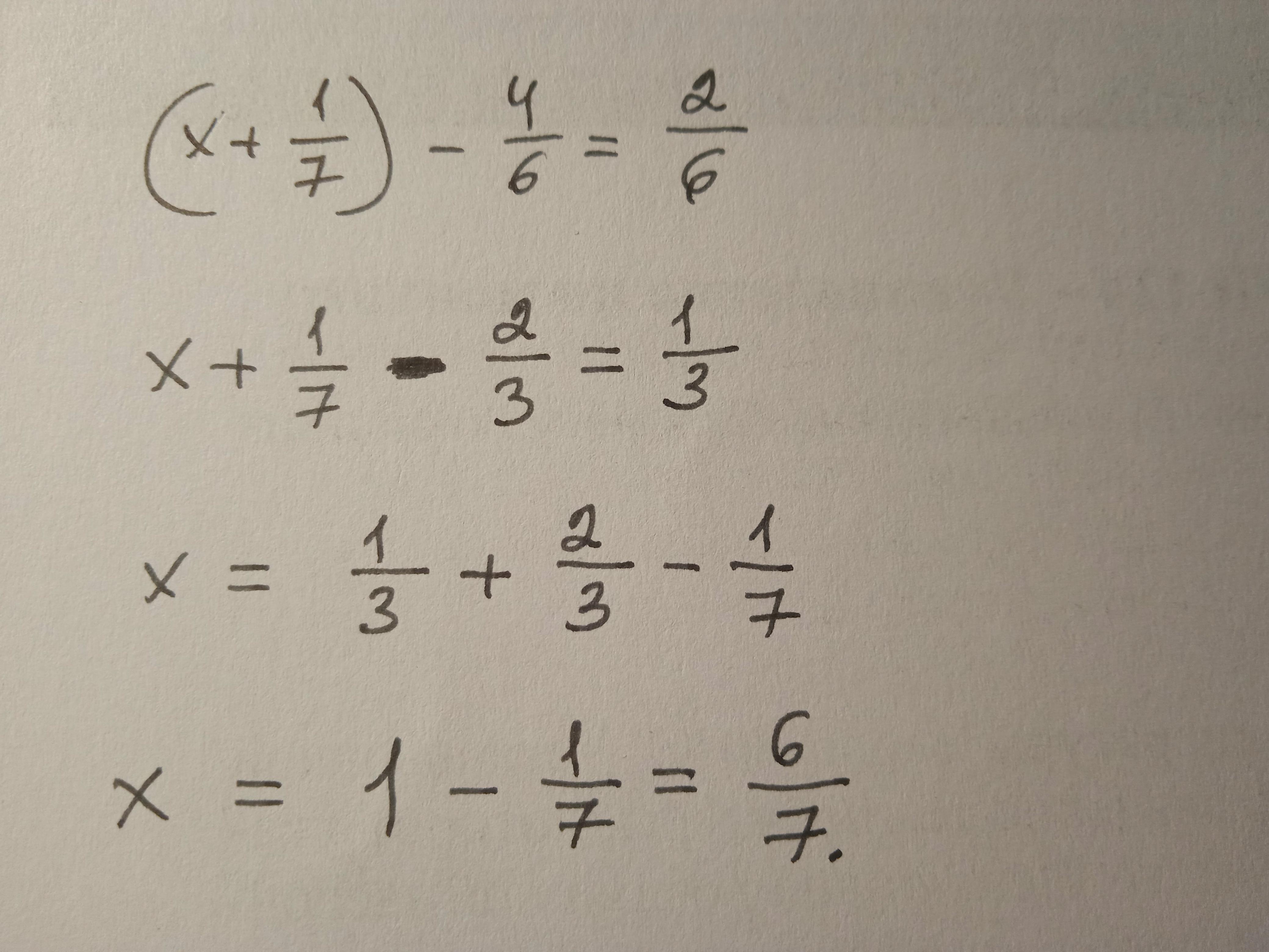
tetamotatetyamotya: (x-1/7)-4/6=2/6. x-1/7=2/6+4/6. x-1/7=1. x=1-1/7. x=7/7-1/7=6/7

Ответы

Ответ дал: olenka209079
0

(x+1/7) - 4/6 = 2/6
нужно удалить лишние скобки, 2 и 6 упрощаем к двум
x + 1/7 - 4/6 = 1/3
ТЕПЕРЬ НУЖНО ВЫЧЕСТЬ (ОТНЯТЬ) ДРОБИ + 1/7 - 4/6
x - 11/21 = 1/3
теперь нужно поменять местами 1/3 и 11/21 со знаком +
x = 1/3 + 11/21
x = 6/7
Ответ: x = 6/7


Pllaton: "ЛО" это что?
olenka209079: отметку лучший ответ
Pllaton: Так я б поспорила
Pllaton: ЭТО: уменьшаемое, вычитаемое, и разность. нам неизвестно уменьшаемое, значит надо вычитаемое сложить с разностью
olenka209079: у меняи с объяснением
olenka209079: меня и*
Pllaton: Ой блееен
Pllaton: я тупая
Pllaton: извините
tetamotatetyamotya: Можно намного проще решить.Автор,посмотрите выше в комменты как я решила.Так как я решила намного конструктивно.
Ответ дал: Пеппер
1

Ответ:

6/7

Пошаговое объяснение:

Приложения:
Вас заинтересует