Ответы
Ответ дал:
1
Поделим все на 3^t и 2^t обозначим за у
1*у^2-12*y+20=0
y^2-12y+36=16 (y-6)^2=4^2
y1=2 y2=10
x1=1
x2=log2(10) логарифм по основанию 2 от 10.
Ответ дал:
1
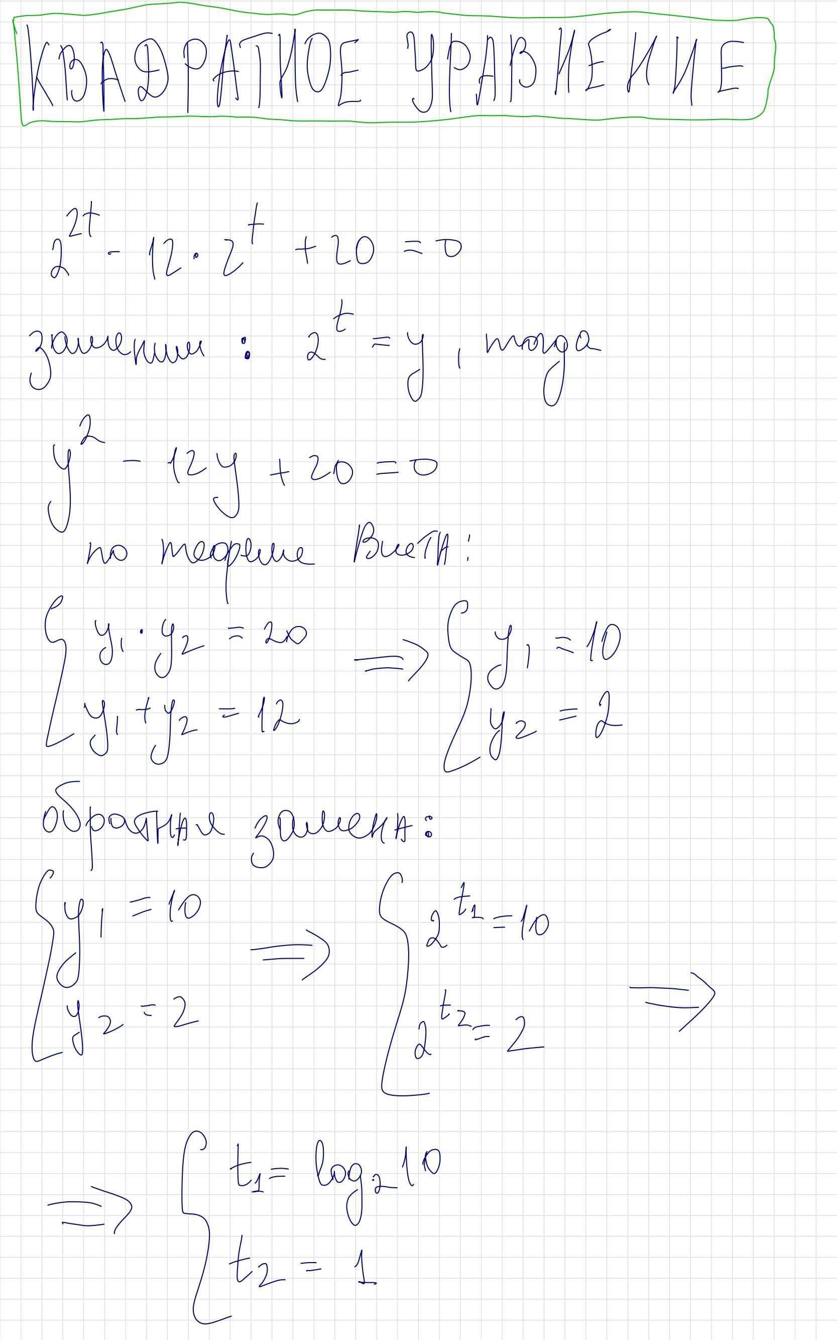
Решение во вложениях
Приложения:



Вас заинтересует
2 года назад
2 года назад
2 года назад
8 лет назад