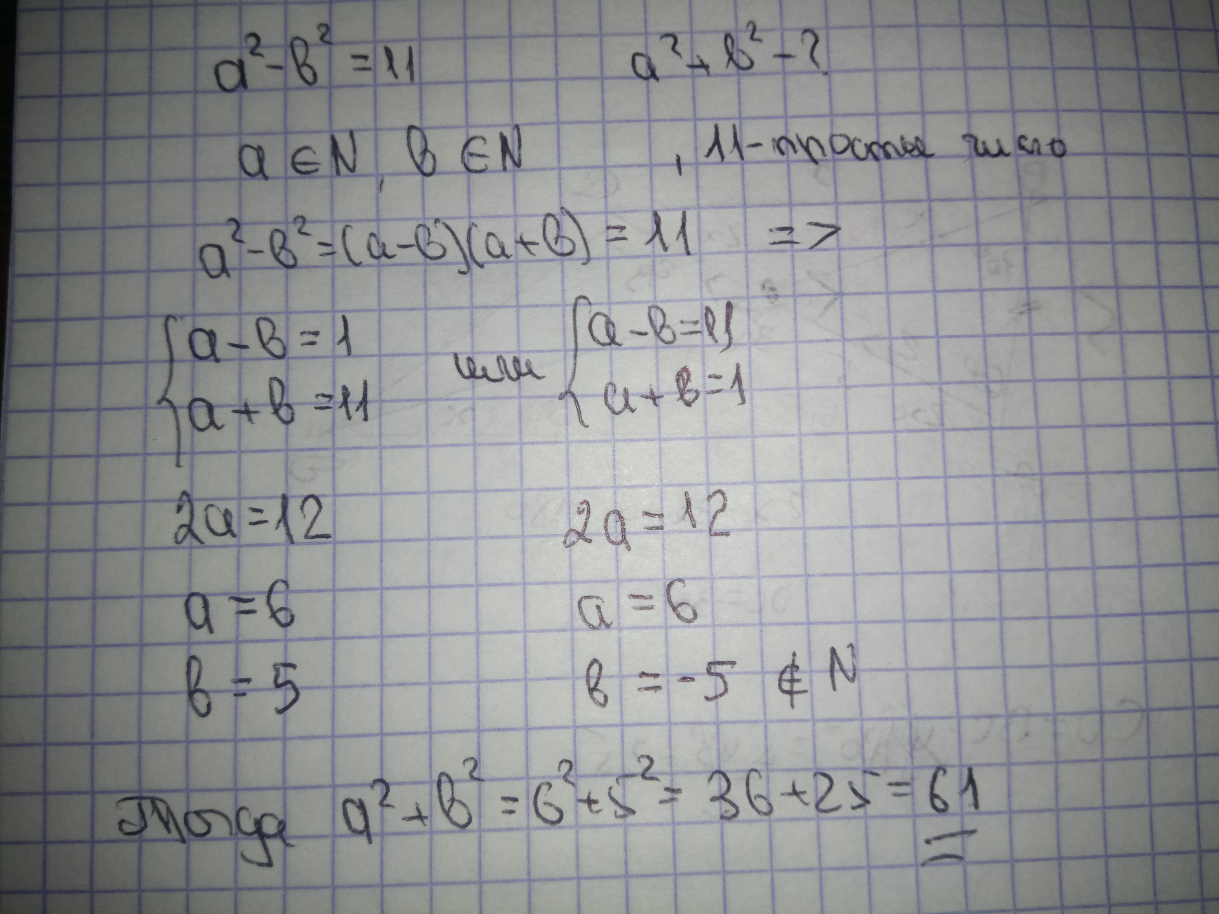
Известно, что а^2 – b^2 = 11 причем а и b— натуральные числа. Найдите а^2+b^2? a)100, b)121, c)72, d)94, e)61,
Ответы
                                            Ответ дал: 
                                                                                    
                                        
                                            
                                                
                                                
                                                
                                                    0
                                                
                                            
                                        
                                    Ответ:
Из условия следует, что (a+b)(a-b)=11 и a>b. Поскольку число 11 – простое, а каждое из чисел a+b, a-b натуральное, a-b=1, a+b=11. Складывая равенства, получаем a+b=12, a=6, откуда b=5. Тогда 6²+5²=36+25=61.
Ответ: 61.
Пошаговое объяснение:
                                            Ответ дал: 
                                                                                    
                                        
                                            
                                                
                                                
                                                
                                                    2
                                                
                                            
                                        
                                    Ответ:61
Пошаговое объяснение:
Приложения:
                     
                            Вас заинтересует
                
                        2 года назад
                    
                
                        2 года назад