• Предмет: Математика
  • Автор: clubarbikosik
  • Вопрос задан 7 лет назад

Найдите числа по его части.
1)0,15 которого составляют 34,5
2) 0,5 которого составляют 45
3) 0,25 которого составляют 194
4) 0,8 которого составляют 9
Пж напишите объяснение, мне оно нужно

Ответы

Ответ дал: salovalentina441
2

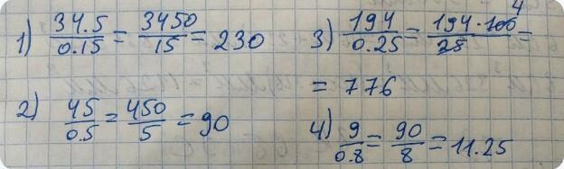
Ответ:

1)230

2)90

3) 776

4)11,25

объяснение : Делишь число на часть и получаешь изначальное число

Приложения:

Аноним: ________________________________
Ответ дал: dyexfnf
1

Ответ:

Пошаговое объяснение:

1) 34,5   - 0,15 части

    х         - 1 целая часть

х= 34,5 * 1 : 0,15= 230

2) 45 : 0,5= 90

3) 194 : 0,25= 776

4) 9 :0,8= 11,25

Вас заинтересует