• Предмет: Алгебра
  • Автор: sanypolishuk003
  • Вопрос задан 7 лет назад

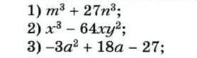
помогите пожалуйста оч надо разложить на множители​

Приложения:

Ответы

Ответ дал: claemor
1

Ответ:

m^{3}+27n^{3}  = (m+3n)(m^{2}-3mn+9n^{2}) по формуле суммы кубов,

x^{3} -64xy^{2} = x(x+8y)(x-8y) по формуле разности квадратов,

-3a^{2} + 18a-27 = -3(a-3)^{2} Сгруппируем и выделим наибольший общий делитель (НОД), затем скомбинируем.

Вас заинтересует