• Предмет: Алгебра
  • Автор: sanypolishuk003
  • Вопрос задан 7 лет назад

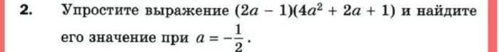
помогите пожалуйста оч надо ​

Приложения:

Ответы

Ответ дал: tatsach
0

Ответ:

Объяснение:

...........

Приложения:
Ответ дал: Damir1121
0

Ответ:

По формуле

x^3-y^2 = (x-y)(x^2+xy+y^2)

(2a-1)(4a^2+2a+1)

(2a)^3-1^3 = 8a^3-1

При а = -\frac{1}{2}

8*(-\frac{1}{2} )^3 - 1 = 8* -\frac{1}{8} -1 = -1-1 = -2

Вас заинтересует