Ответы
Ответ дал:
0
.............................................
Приложения:


Ответ дал:
0
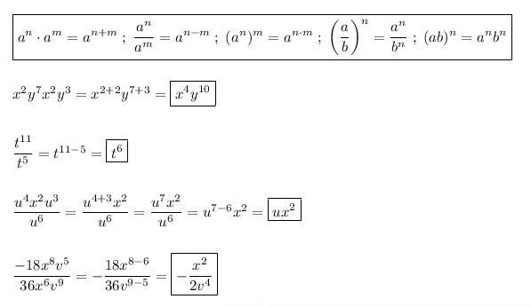
Ответ:
а)x⁴y¹⁰
б)t⁶
в)ux²
г)x2
⁻⁻⁻⁻⁻⁻⁻
2v⁴
д)2(-t¹¹)
е)27u⁵v7
ж)x⁸
⁻⁻⁻⁻⁻⁻⁻⁻
u¹⁰
з)u⁴
⁻⁻⁻⁻⁻⁻⁻⁻⁻
v²
вроде так
Вас заинтересует
2 года назад
2 года назад
2 года назад
2 года назад
8 лет назад
8 лет назад
9 лет назад