ПОМОГИТЕ СРОЧНООООО ДАЮ 100 БАЛОВ
Розв'яжіть задачі і визначте яка з речовин має більшу масу :
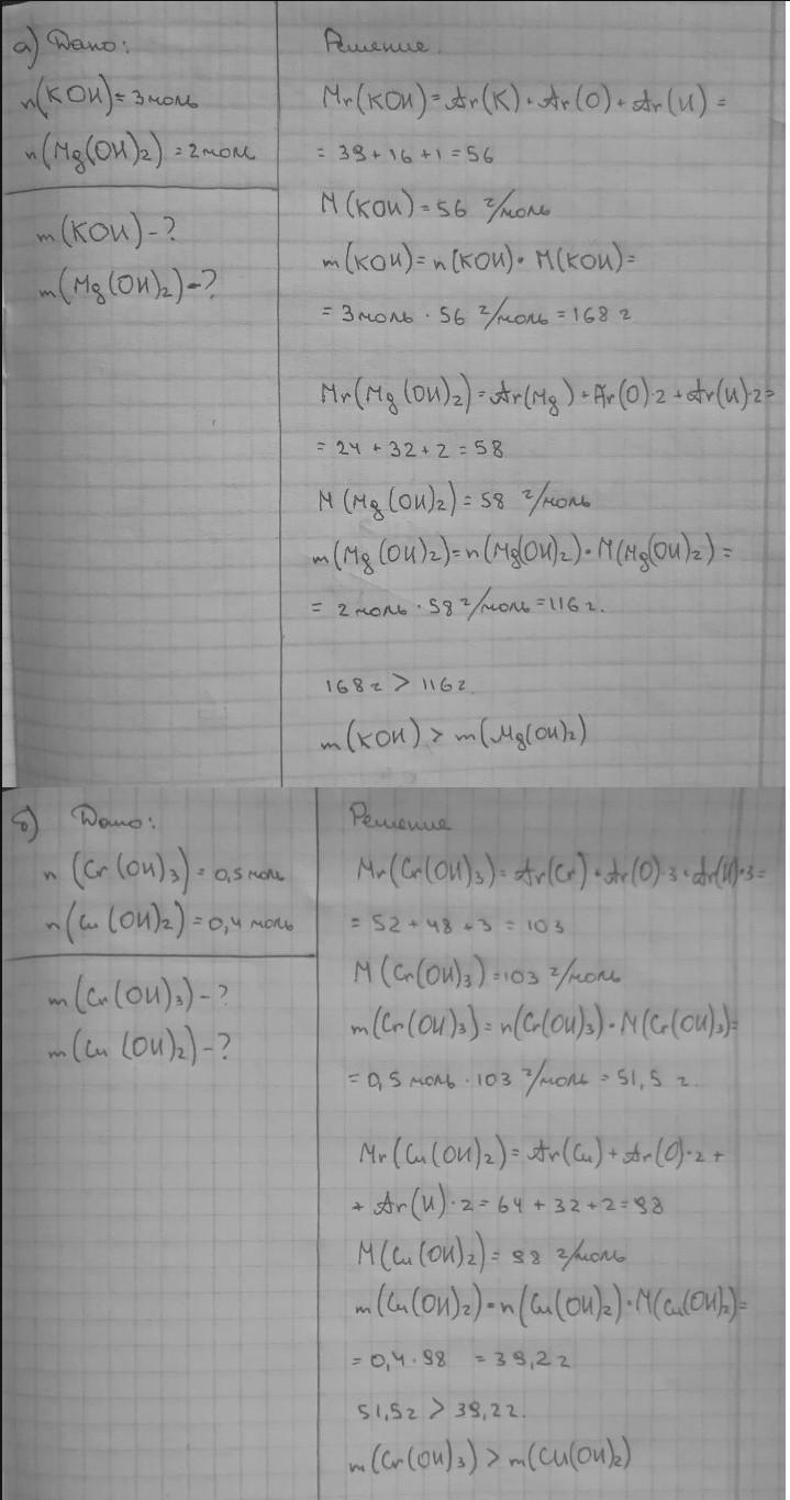
а) калій
гідроксид кількістю речовини 3 моль чи магній гідроксид кількістю речовини
2 моль;
б) хром (ІІІ) гідроксид кількістю речовини 0,5 моль чи купрум (ІІ) гідроксид кількістю речовини 0,4 моль.
0lllbtslll0:
решение тоже писать или только ответ?
Ответы
Ответ дал:
2
Ответ:
а) гидроксид калия больше.
б) гидроксид хрома больше.
Объяснение:
решения на фото.
Приложения:

Вас заинтересует
2 года назад
2 года назад
2 года назад
8 лет назад
9 лет назад