• Предмет: Алгебра
  • Автор: nazarsav14235
  • Вопрос задан 7 лет назад

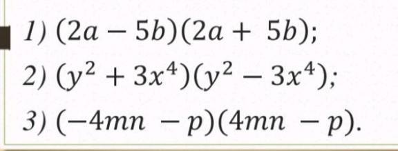
Помогите решить задания​

Приложения:

Ответы

Ответ дал: sanypolishuk003
0

Ответ:

1) (2a-5b)²

2) (y²-3x⁴)²

3) (4mn-p)²

Ответ дал: gurbanovf
1

Ответ:

1) (2a-5b)(2a+5b)=4a²+10ab-10ab-25b²=4a²-25b²

2) (y²+3x⁴)(y²-3x⁴)=y⁴-3x⁴y²+3x⁴y²-9x⁸=y⁴-9x⁸

3) (-4mn-p)(4mn-p)=-16m²n²+4mnp- 4mnp+p²=-16m²n²+p²

Вас заинтересует