.
Найди значение выражения Н(3) — F(3), если алгоритм вычисления функций Hy) и F(у), где у —
натуральное число, задаётся следующим алгоритмом:
F(1) = 1;
Н(1) = 1;
F(y) = F(у — 1) + H(у — 1) + 8;
Н(y) = F(у — 1) + H(у — 1).
Ответы
Ответ дал:
1
Ответ:
(см. объяснение)
Объяснение:
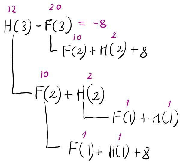
Способ 1 (ручной счет):
(см, прикрепленный файл)
Способ 2 (программа | паскаль):
##
function H(y: integer): integer; forward;
function F(y: integer): integer;
begin
F:= if(y>1) then F(y-1)+H(y-1)+8 else 1;
end;
function H(y: integer): integer;
begin
H:= if(y>1) then F(y-1)+H(y-1) else 1;
end;
(H(3)-F(3)).print;
В обоих случаях ответ -8.
Задание выполнено!
Приложения:

Вас заинтересует
2 года назад
2 года назад
8 лет назад
9 лет назад