• Предмет: Математика
  • Автор: angelinabogdan2368
  • Вопрос задан 7 лет назад

Помогите пж с заданием!!!​

Приложения:

Ответы

Ответ дал: parus77
1

Ответ:

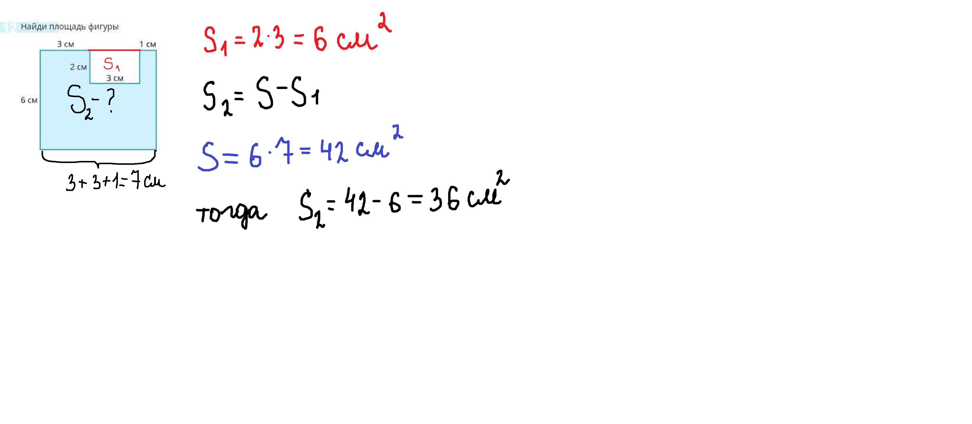
36 см²   площадь фигуры

Пошаговое объяснение:

проведем отрезок,который достроит фигуру до прямоугольника.Это красный отрезок.и найдем площадь S1=2*3=6 cм².

Найдем длину нижней стороны прямоугольника,(3+3+1 =7 см),и зная  длину боковой стороны найдем площадь большого прямоугольника

S=6*7=42 см²

Чтобы найти площадь закрашенной фигуры S2 ,надо от площадь всего большого прямоугольника  S отнять площадь маленького прямоугольника S1.   S2=S-S1

S2=42-6=36cм²

Приложения:
Вас заинтересует