• Предмет: Математика
  • Автор: stasik1122
  • Вопрос задан 7 лет назад

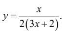
Найти производную n-го порядка.

Приложения:

Ответы

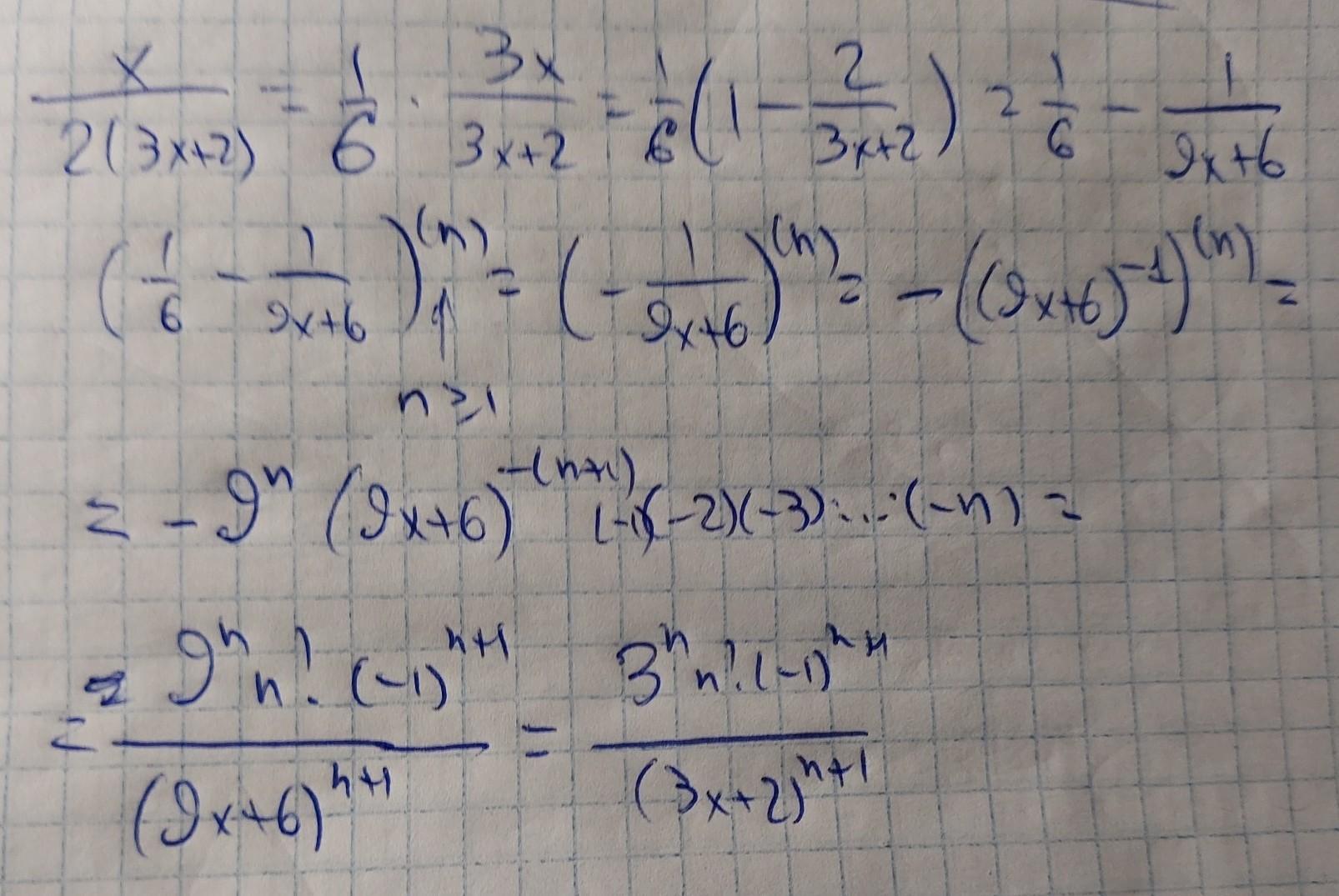
Ответ дал: timakk
1

.......................

Приложения:
Вас заинтересует