• Предмет: Алгебра
  • Автор: mironnesvetaylov
  • Вопрос задан 7 лет назад

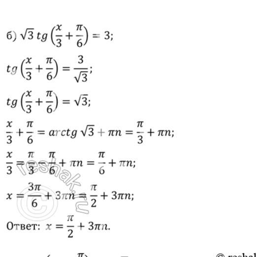
Куда пропал корень трёх в знаменателе ???

Приложения:

Ответы

Ответ дал: yevheniiavz
1

Відповідь:

ответ на фото.

Приложения:

yevheniiavz: корень(3)*корень(3) в заменателе даст корень(9), а корень(9)=3.
Вас заинтересует