Ответы
Ответ дал:
1
Ответ:
Объяснение:
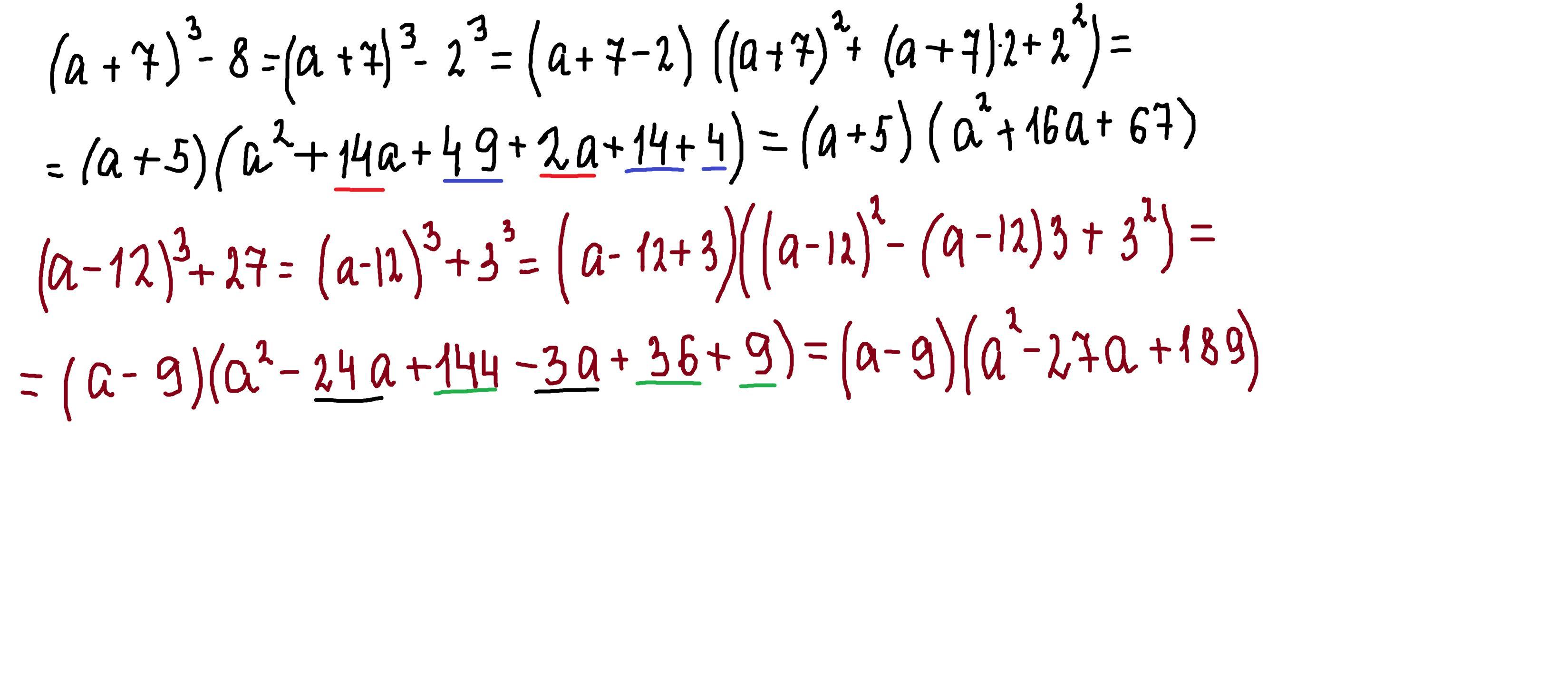
раскладываем по формуле разность кубов и сумма кубов
а³-в³=(а-в)(а²+ав+в²) а³+в³=(а+в)(а²-ав+в²)
Приложения:

Вас заинтересует
2 года назад
2 года назад
2 года назад
2 года назад
8 лет назад
8 лет назад
9 лет назад