Ответы
Ответ дал:
0
Ответ:
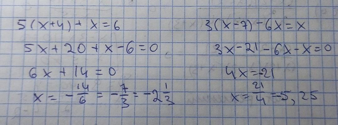
5(х+4)+х=6
5х+20+х=6
6х=6-20
6х=-14
х=-14/6=-7/3
3(х-7)-6х=х
3х-21-6х-х=0
-4х=21
4х=-21
х=-21/4
Ответ дал:
0
Ответ:
1) -2 1/3 2) -5,25
Пошаговое объяснение:
на фото
Приложения:

Вас заинтересует
2 года назад
2 года назад
8 лет назад
9 лет назад
9 лет назад